Virginia Plan Definition
jersey

Virginia Plan Definition

Virginia Plan Definition, Indeed recently has been hunted by consumers around us, perhaps one of you personally. People now are accustomed to using the internet in gadgets to view video and image information for inspiration, and according to the name of this article I will discuss about

If the posting of this site is beneficial to our suport by spreading article posts of this site to social media marketing accounts which you have such as for example Facebook, Instagram and others or can also bookmark this blog page.

Https Www Roanokecountyva Gov Documentcenter View 9204 New Jersey Weather Rain

Liberty University Hius 221 Primary Source And Presentation Review 4 New Jersey Weather Rain

We The People Texas 9th Edition Ginsberg Test Bank New Jersey Weather Rain

Https Www Nirsonline Org Wp Content Uploads 2017 11 Public Pension Resource Guide Case Studies Of State Pension Plans That Switched To Defined Contribution Plans Pdf New Jersey Weather Rain

Beneficiary Designation 401 A Plan West Virginia Teachers Defined Contribution Plan 98977 01 New Jersey Weather Rain

Https Encrypted Tbn0 Gstatic Com Images Q Tbn 3aand9gcsvplohtalazhne41breklqtecmrcdernzs2m Yr6wklwqnjbn3 Usqp Cau New Jersey Weather Rain

The Virginia Plan Description Facts Video Lesson Transcript Study Com New Jersey Weather Rain

Virginia Plan Definition Examples And 816019 Png Images Pngio New Jersey Weather Rain

2 New Jersey Weather Rain

Colony Of Virginia Wikipedia New Jersey Weather Rain

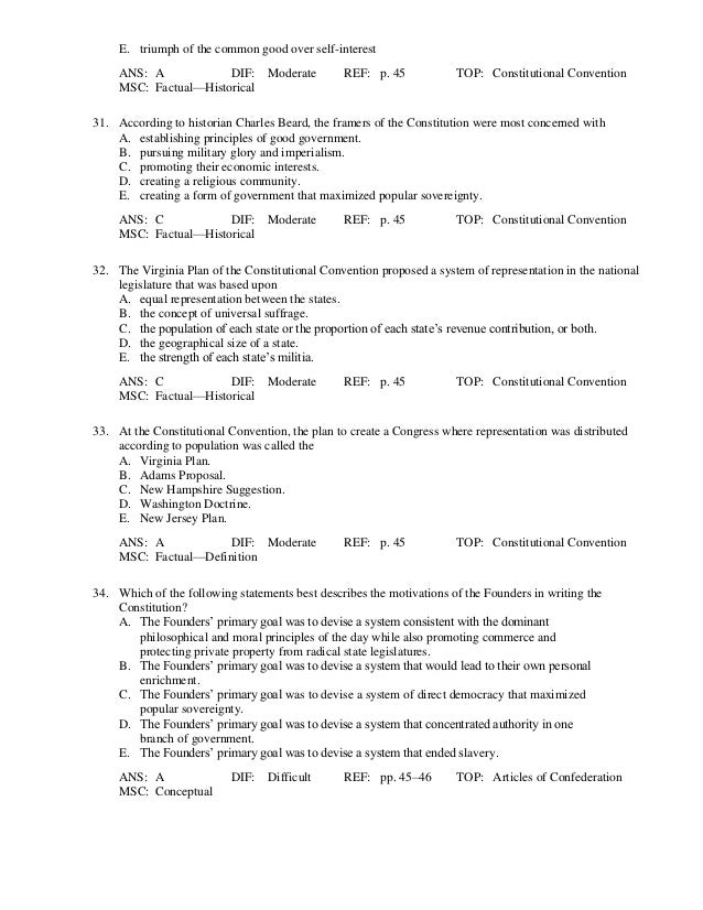
More From New Jersey Weather Rain